by Matthew Mar 19,2025
Deepseeks neuer Chatbot bietet eine beeindruckende Einführung: "Hallo, ich wurde erstellt, damit Sie alles fragen und eine Antwort erhalten können, die Sie sogar überraschen könnte." Diese KI, ein Produkt des chinesischen Startups Deepseek, ist schnell zu einem wichtigen Marktspieler geworden und hat sogar zu einem erheblichen Rückgang des NVIDIA -Aktienkurses beigetragen.
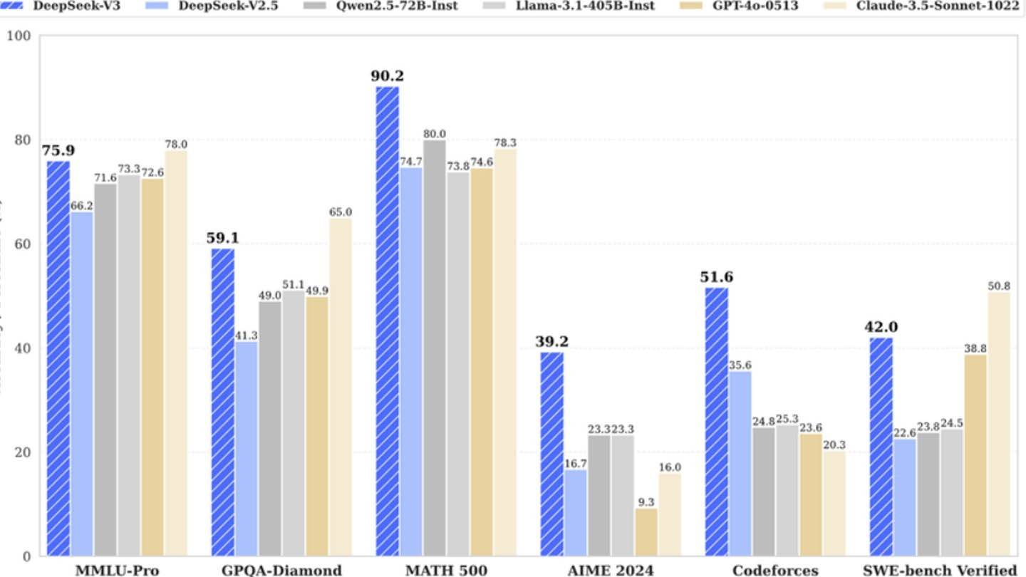
Bild: Ensigame.comDer Erfolg von Deepseek beruht auf seinen innovativen Architektur- und Trainingsmethoden. Schlüsseltechnologien umfassen:
Bild: Ensigame.comDeepseeks erste Behauptung auf nur 6 Millionen US -Dollar Schulungskosten für Deepseek V3 unter Verwendung von nur 2048 GPUs ist irreführend. Die semianalyse ergab eine weitaus umfangreichere Infrastruktur: ungefähr 50.000 NVIDIA Hopper -GPUs (einschließlich 10.000 H800, 10.000 H100 und zusätzliche H20S), die über mehrere Rechenzentren verteilt wurden. Dies führt zu einer Serverinvestition von rund 1,6 Milliarden US -Dollar und Betriebskosten in Höhe von 944 Mio. USD.
Deepseek, eine Tochtergesellschaft von High-Flyer, einem chinesischen Hedgefonds, besitzt seine Rechenzentren und fördert die Kontrolle und Innovationsgeschwindigkeit. Dieser selbstfinanzierte Ansatz verbessert die Flexibilität und Entscheidungsfindung. Das Unternehmen zieht Top -Talente an, wobei einige Forscher jährlich über 1,3 Millionen US -Dollar verdienen und hauptsächlich von chinesischen Universitäten rekrutieren.
Bild: Ensigame.comWährend Deepseeks Zahl von 6 Millionen US-Dollar nur die GPU-Kosten vor der Training widerspiegelt und Forschung, Verfeinerung, Datenverarbeitung und Infrastruktur ignoriert, hat das Unternehmen über 500 Millionen US-Dollar in die AI-Entwicklung investiert. Die magere Struktur ermöglicht effiziente Innovationen im Vergleich zu größeren, bürokratischeren Wettbewerbern.
Bild: Ensigame.comDer Erfolg von Deepseek unterstreicht das Wettbewerbspotential gut finanzierter unabhängiger KI-Unternehmen. Die Erfolge basieren jedoch in erheblichen Investitionen, technologischen Durchbrüchen und einem starken Team. Ansprüche auf revolutionäre Haushaltseffizienz sind übertrieben. Trotzdem bleiben Deepseeks Kosten deutlich niedriger als die Konkurrenten. Zum Beispiel kostete das Training von Deepseeks R1 -Modell 5 Millionen US -Dollar, während Chatgpt4 100 Millionen US -Dollar kostete.
Girls Frontline 2: Exilium Global Website geht live, zusammen mit seinen sozialen Netzwerken!
Marvel -Rivalen: Das Verstehen von Bussen und Fangen
Neues Spiel Plus in Assassins Creed Shadows: bestätigt?
Top -Fähigkeiten, um Yasuke in Assassins Creed Shadows zu priorisieren
Assassins Creed Shadows -Bewegungen, die von zwei Parkour -Athleten überprüft wurden
Death Stranding 2 Erscheinungsdatum in massivem Trailer vorgestellt
Pokemon Go Leak neckt neue Abenteuereffekte
Amazon Music Unlimited: Kostenlose 3-Monats-Testversion verfügbar
Overlove
Herunterladen
IGun Pro 2
Herunterladen
Checkers, draughts and dama
Herunterladen
Dinosaur Games City Rampage
Herunterladen
Ephod
Herunterladen
Moonlight Sculptor: DarkGamer
Herunterladen
Paper Dolls Diary DIY Dress Up
Herunterladen
Airbus Simulator Airplane Game
Herunterladen
Fill The Fridge Organizer Game
Herunterladen
Ahsoka auf der Star Wars Celebration enthüllt
Apr 09,2026
Netflix und PBS streamen ab Ende des HBO Max-Vertrags neue Folgen von „Sesamstraße“
Apr 07,2026
Eternity's Bastion: Staffel 2 startet nach Triumph bei den EVA 2025.
Apr 02,2026
Idle Space Farm: A Comprehensive Guide (2024) Your ultimate walkthrough to maximize profits, optimize growth, and become the galaxy's top space farmer! 🌟 Overview Idle Space Farm is a relaxing, clicker-style idle game where you grow crops on alien planets, upgrade your farm, and expand across the galaxy. The goal is simple: passively earn resources, unlock new planets, and build the most efficient farm in the universe. 🌱 1. Core Gameplay Basics Tap to Harvest: Tap your crops to collect resources (Energy, Credits, Seeds, etc.). Auto-Harvest: Enable auto-collection to earn while you’re away. Resource Types: Credits: Main currency. Use for upgrades and new farms. Energy: Required to plant and maintain crops. Replenishes over time. Seeds: Needed to plant new crops. Earned from harvesting. Galactic Dust (Premium): Used for instant upgrades and rare items. 🛠️ 2. Key Systems & Progression 🔧 A. Farm Upgrades Farm Level: Increases crop yield and unlock new features. Upgrade via Credits and Energy. Use Seeds to speed up upgrades. Upgrade Priorities: Harvest Speed (→ more resources per tap). Storage Capacity (→ store more resources). Auto-Harvest Efficiency (→ works while you sleep). 🌌 B. Planet Unlocking Start on Planet 1 (Terra Prime) → Progress to: Planet 2 (Aurora-9) – Faster growth, rare seeds. Planet 3 (Nova-7) – Higher yield, special crops. Planet 4 (Zyphar) – Elite farming zones. Unlock Requirements: Reach Farm Level 10 → Unlock Planet 2. Collect 100,000 Credits → Unlock Planet 3. Complete 300 daily tasks → Unlock Planet 4. ✅ Pro Tip: Use Galactic Dust to instantly unlock planets if you're impatient. 🌿 C. Crop Types & Management Crop Effect Best For Solar Bloom Fast harvest, low yield Early game Quantum Grain High yield, needs energy Mid-game Stellar Berries Rare drops, sells for premium Late game Nebula Roots Passive energy gain Max efficiency Rotate crops based on energy cost vs. profit. Use “Crop Advisor” (in-game tool) to auto-optimize. ⚙️ 3. Advanced Optimization Tips 🔁 A. Synergy Builds “Energy Loop”: Use Solar Bloom + Energy Recharger Module → Gives energy back on harvest → 100% uptime. “Auto-Compound”: Set up 3 farms with different crops → each generates resources to feed the next. 🔄 B. Daily & Weekly Tasks Complete Daily Challenges for: 500 Credits 50 Seeds 1 Galactic Dust (rare) Weekly Quests: Unlock exclusive seed types and planet skins. 🎯 C. Power-Ups & Boosts Speed Boost (x2 Harvest): Use during peak hours (10 AM – 2 PM local time). Double Credits (2x): Buy with Galactic Dust or earn via events. Energy Vault: Stores excess energy for future use. 💰 4. Maximize Earnings: Pro Strategies ✅ Golden Rules of Idle Farming Always keep energy above 50% – Don’t let your farm go idle. Use auto-harvest 24/7 – Even when offline, your farm earns. Save seeds for high-tier crops – Don’t waste on low-profit plants. Reinvest 80% of profits – Let compounding grow your empire fast. 📈 Profit Formula (Estimate) Daily Earnings = (Harvest Speed × Crop Yield × Farm Multiplier) / 100 Goal: Reach 10,000+ Credits/day by Farm Level 25. 🎮 5. Events & Special Features Galactic Harvest Festival (Monthly): 3x Credits for 48 hours. Special event crops (e.g., Celestial Apples) → 50% more seeds. Farming Tournament (Weekly): Rank against other players. Win Galactic Dust, exclusive seeds, and skins. 🏆 Top Tip: Join events → boost profit 3–5x temporarily. 🛑 6. Common Mistakes to Avoid ❌ Spending all Galactic Dust on one upgrade ✅ Use it for multiple small boosts across farms. ❌ Over-investing in low-tier crops ✅ Focus on high-yield, low-energy crops. ❌ Ignoring energy limits ✅ Always monitor energy → prevent "dead zones". 🌠 Final Words: Become the Galactic Overlord! With smart upgrades, event participation, and steady compounding, you can go from Terra Prime Farmer to Galaxy Emperor of Harvests in under a month. 🌍 Final Goal: Reach Farm Level 50, unlock Dark Nebula Planet, and grow the Ultimate Crop: The Infinite Bloom. 📌 Quick Reference Cheat Sheet Goal How to Achieve 10k Credits/day Farm Level 25+, 3x auto-harvest Unlock Planet 4 300 tasks, 200k Credits Get Galactic Dust Events, daily quests, purchases Maximize profit Rotate crops, use energy loops 🎮 Pro Tip: Turn on notifications and daily reminders – consistency is key! 🌱 Happy Farming, Space Farmer! The galaxy is waiting for your next harvest. 🔗 Download Idle Space Farm on Google Play / App Store now! 🌟 Join the Galactic Farming Discord for tips and events! Last Updated: April 2024 | Game Version: 2.4.1
Apr 02,2026
GOG stellt Ein-Klick-Mods vor, Skyblivion kommt noch in diesem Jahr
Mar 30,2026